Assessment of real-world vehicle emissions in São Paulo
The TRUE Initiative completed its first remote sensing campaign in Brazil, collecting more than 323,000 measurements across the São Paulo Metropolitan Area in spring 2024, to provide a comprehensive picture of vehicle emissions across the region.
Working closely with the State Environmental Agency of São Paulo (Companhia Ambiental do Estado de São Paulo; CETESB) to conduct the roadside testing, researchers observed that:
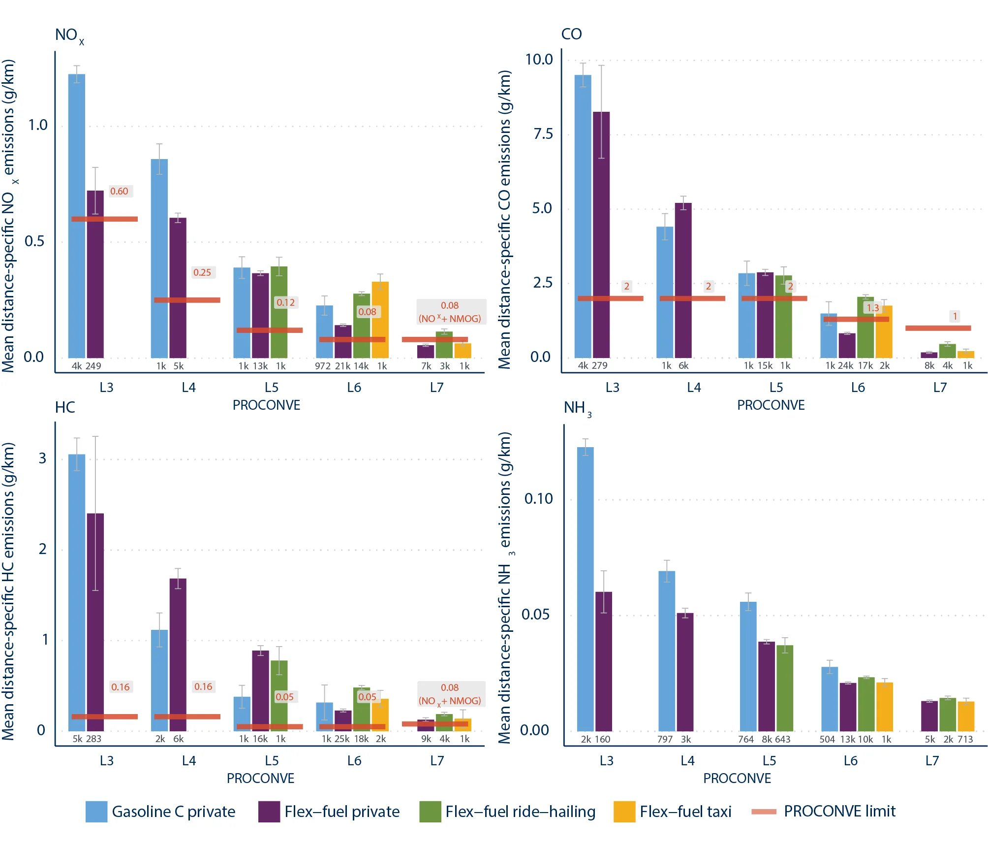
- Passenger cars certified to the L3 PROCONVE emissions standard using gasoline C and flex-fuel exhibited the highest real-world emissions exceeding limits by up to two times for NOx, four times for CO, and 19 times for HC. These vehicle groups also had one of the highest shares of vehicles with detectable evaporative emissions, an important precursor to O3. While making up only 5.5% of the fleet sample, replacing these models would have outsized benefits on fleetwide emissions reductions. (See Figure 1.)

- Trucks certified to the latest and most stringent P8 standards still exhibited real-world emissions over 3 times the NOx limit and 4 times the PM limit . Drawing from the lessons from the Euro emission standards, widening the in-service conformity testing conditions to include a lower power threshold and cold start would achieve expected reductions in truck emissions.
- Flex fuel taxis and ride-hailing vehicles emitted twice as much NOx, CO, and NH3 as private cars. Mandatory inspection of these vehicles can identify the reasons for rapid deterioration and an accelerated transition to electric vehicles would be impactful in reducing emissions.
- Urban cargo trucks, most of which are certified to the P7 standard and largely responsible for last-mile deliveries, measured over two times the PROCONVE limits. Electrification of this vehicle group with purchase incentives or tax exemptions, and an eventual restriction of diesel trucks in the city would limit urban residents’ exposure to high levels of vehicle emissions and their associated health impacts.
Avaliação das emissões reais dos veículos em São Paulo
Em sua primeira campanha de sensoriamento remoto no Brasil, a iniciativa The Real Urban Emissions (TRUE) realizou mais de 320 mil medições em toda a Região Metropolitana de São Paulo para promover um panorama abrangente sobre as emissões reais de poluentes.
Realizado em parceria com a agência ambiental do Estado de São Paulo (CETESB – Companhia Ambiental do Estado de São Paulo), o estudo apresenta as seguintes conclusões:
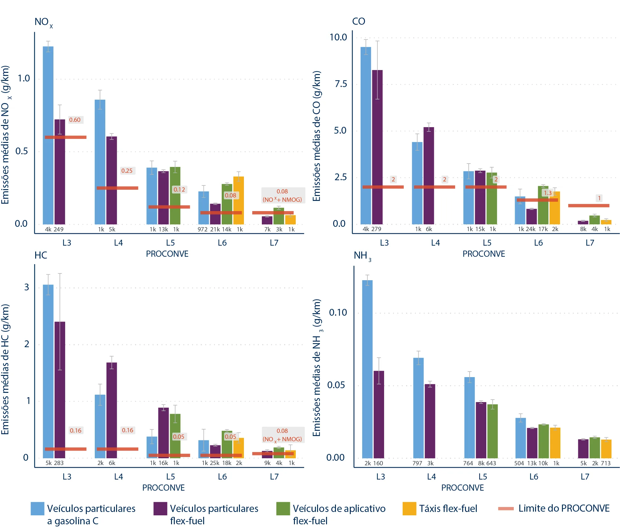
Entre os veículos de passeio, os certificados na fase L3 do PROCONVE apresentaram as maiores emissões em condições reais de uso, ultrapassando os limites em até duas vezes para NOx, quatro vezes para CO e 19 vezes para HC. Esses veículos também tiveram a maior participação nas emissões evaporativas detectáveis, um importante precursor do O3. Embora representem apenas 5,5% da amostra da frota, a substituição desses modelos teria um impacto expressivo na redução de emissões.
Os caminhões certificados segundo a fase P8, a mais recente do PROCONVE, apresentaram emissões reais mais de três vezes acima do limite de NOx e quatro vezes acima do limite de MP (material particulado). Com base nos exemplos de padrões de emissões europeus (Euro), exigir testes de conformidade em serviço para limites de potência mais baixos e partidas a frio reduziria as emissões em ambientes urbanos.
Táxis e veículos de transporte por aplicativo flex emitiram o dobro de NOx, CO e HC em comparação aos carros particulares. A inspeção obrigatória desses veículos pode ajudar a identificar as causas da deterioração acelerada e, paralelamente, uma transição mais rápida para veículos elétricos teria um impacto significativo na redução das emissões.
Os veículos urbanos de carga (VUCs), em sua maioria certificados pelo padrão P7 e muito usados para entregas de curtas distâncias, apresentaram emissões mais de duas vezes acima dos limites do PROCONVE. A eletrificação desse grupo de veículos, aliada a incentivos de compra ou isenção de impostos e, eventualmente, à restrição de caminhões a diesel nas áreas urbanas, reduziria substancialmente a exposição da população a altos níveis de emissões veiculares e aos impactos negativos para a saúde.

No contexto regulatório atual, os proprietários de automóveis no Brasil não têm incentivos para substituir veículos antigos e são pouco estimulados a adquirir veículos elétricos a bateria (BEVs). O Programa Mobilidade Verde e Inovação (MOVER), lançado em 2024, oferece a mesma redução de impostos para veículos híbridos plug-in e BEVs.
Políticas públicas orientadas para o futuro deveriam incentivar a substituição de veículos antigos com motor a combustão por veículos totalmente elétricos, em vez de híbridos. Medidas como esta, ao mesmo tempo em que estimulam a expansão do mercado nacional de veículos elétricos, trazem benefícios adicionais, como a geração de empregos e o fortalecimento da cadeia produtiva local.
Environmental Company of the State of São Paulo (CETESB)
TRUE Testing Campaign: Real-world remote-sensing technology measured 323,000 vehicles across the São Paulo Metropolitan Area between May to July 2024.